基本信息:
中文名称 培利替尼
中文别名 贝利替尼;萘哌地尔双盐酸;(2E)-N-[4-[(3-氯-4-氟苯基)氨基]-3-氰基-7-乙氧基-6-喹啉基]-4-(二甲基氨基)-2-丁烯酰胺;
英文名称 pelitinib
英文别名 4-dimethylamino-but-2-enoic acid [4-(3-chloro-4-fluoro-phenylamino)-3-cyano-7-ethoxy-quinolin-6-yl]-amide;(E)-N-(4-(3-chloro-4-fluorophenylamino)-3-cyano-7-ethoxyquinolin-6-yl)-4-(dimethylamino)but-2-enamide;PELITINIB;(2E)-N-[4-[(3-chloro-4-fluorophenyl)amino]-3-cyano-7-ethoxy-6-quinolinyl]-4-(dimethylamino)-2-buteneamide;Pelitinib (EKB-569);WAY-EKB 569;(2E)-N-[4-[(3-Chloro-4-fluorophenyl)amino]-3-cyano-7-ethoxy-6-quinolinyl]-4-(dimethylamino)-2-butenamide;3-cyano-4-[(3-chloro-4-fluorophenyl)amino]-6-{[4-(N,N-dimethylamino)-1-oxo-2-buten-1-yl]amino}-7-ethoxy-quinoline;3-Cyano-4-[(3-chlor-4-fluorphenyl)amino]-6-{[4-(N,N-dimethylamino)-1-oxo-2-buten-1-yl]amino}-7-ethoxy-chinoline;2-Butenamide,N-[4-[(3-chloro-4-fluorophenyl)amino]-3-cyano-7-ethoxy-6-quinolinyl]-4-(dimethylamino)-,(2E);(2E)-N-{4-[(3-chloro-4-fluorophenyl)aMino]-3-cyano-7-ethoxyquinolin-6-yl}-4-(diMethylaMino)but-2-enaMide;
CAS号 257933-82-7
合成路线:
1.通过二甲胺和6-氨基-4-(3-氯-4氟苯氨基)-7-乙氧基喹啉-3-腈合成培利替尼

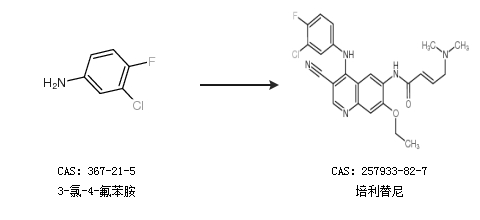
2.通过3-氯-4-氟苯胺合成培利替尼

更多路线和参考文献可参考