你好,欢迎来到中华试剂网 购试剂 买耗材! [请登录][注册有惊喜]

货号快速下单 | 签到送积分   | 会员中心 | 客服热线:400-021-2765

尿苷5-单磷酸的合成路线有哪些?

提问时间:2021/4/20 8:14:10
尿苷5-单磷酸有什么方法可以合成?

1条回复:

匿名
2021/4/20 8:14:10
基本信息:
中文名称 尿苷5-单磷酸
中文别名 5-尿苷一磷酸;尿苷單磷酸;
英文名称 UMP
英文别名 uridinephosphate;uridinemonophosphate;Uridylate;U 5''-P;uridine 5''-monophosphate;
CAS号 58-97-9

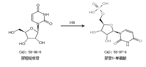
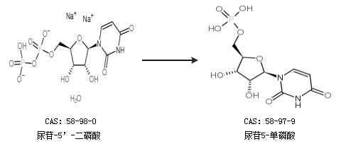
合成路线:
1.通过尿苷-5’-二磷酸合成尿苷5-单磷酸


2.通过尿嘧啶核苷合成尿苷5-单磷酸,收率约14%;


更多路线和参考文献可参考
回复