基本信息:
中文名称 鸟苷三磷酸
中文别名 5''-鸟嘌呤核苷三磷酸二钠盐,GUANOSINE-5''-TRIPHOSPHATE DISODIUM SALT;鸟三磷;
英文名称 GTP
英文别名 Guanosine triphosphate;guanosine 5''-O-(triphosphate);[(2R,3S,4R,5R)-5-(2-amino-6-oxo-3H-purin-9-yl)-3,4-dihydroxyoxolan-2-yl]methyl (hydroxy-phosphonooxyphosphoryl) hydrogen phosphate;Guanosine 5''-triphosphoric acid;pppG;D-Guanosine5''-triphosphate;guanosine 5''-(tetrahydrogen triphosphate);guanosine 5''-triphosphate;Guo-5''-P3;guanosine triphosphate (-Na2);
CAS号 86-01-1
合成路线:
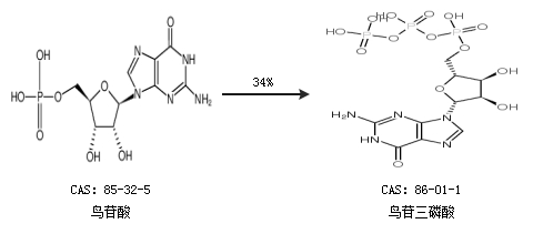
1.通过鸟苷酸合成鸟苷三磷酸,收率约34%;

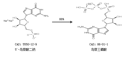
2.通过5''-鸟苷酸二钠合成鸟苷三磷酸,收率约88%;

更多路线和参考文献可参考