基本信息:
中文名称 鸟苷-5’-二磷酸
中文别名 鸟苷-5`-二磷酸;二磷酸鸟苷二钠;5ˊ-二磷酸鸟苷二钠盐;
英文名称 GDP
英文别名 [(2R,3S,4R,5R)-5-(2-amino-6-oxo-3H-purin-9-yl)-3,4-dihydroxyoxolan-2-yl]methyl phosphono hydrogen phosphate;Guanosine 5-Diphosphate;
CAS号 146-91-8
合成路线:
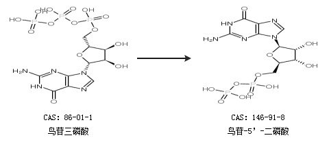
1.通过鸟苷三磷酸合成鸟苷-5’-二磷酸

2.通过2-氟-alfa-d-2-脱氧-葡萄糖和鸟苷三磷酸合成鸟苷-5’-二磷酸

更多路线和参考文献可参考