你好,欢迎来到中华试剂网 购试剂 买耗材! [请登录][注册有惊喜]

货号快速下单 | 签到送积分   | 会员中心 | 客服热线:400-021-2765

萘-d8的合成路线有哪些?

提问时间:2021/4/20 8:14:10
萘-d8有什么方法可以合成?

1条回复:

匿名
2021/4/20 8:14:10
基本信息:
中文名称 萘-d8
中文别名 萘-D8;萘D8;
英文名称 Naphthalene-d8
英文别名 1,2,3,4,5,6,7,8-octadeuterionaphthalene;
CAS号 1146-65-2

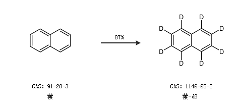
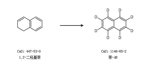
合成路线:
1.通过萘合成萘-d8,收率约87%;


2.通过1,2-二羟基萘合成萘-d8


更多路线和参考文献可参考
回复