基本信息:
中文名称 木犀草素
中文别名 黄色黄素;3'',4'',5,7-四羟黄酮;片素;3'',4'',5,7-四羟基黄酮;木樨草素;3'',4'',5,7-四羟基黄酮;檞片素;
英文名称 luteolin
英文别名 Flavopurpol;Salifazide;3'',4'',5,7-Tetrahydroxyflavone;2-(3,4-Dihydroxyphenyl)-5,7-dihydroxy-4H-chromen-4-one;2-(3,4-Dihydroxyphenyl)-5,7-dihydroxy-4-benzopyrone;LUTEOLOL;5,7,3'',4''-tetrahydroxyflavon;3'',4'',5,7-tetrahydroxy-flavone;FLACITRAN;weldlake;cyanidenon;5,7,3'',4''-tetrahydroxyflavone;
CAS号 491-70-3
合成路线:
1.通过3,4,5,7-四甲氧基黄酮合成木犀草素,收率约86%;

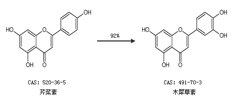
2.通过芹菜素合成木犀草素,收率约92%;

更多路线和参考文献可参考