基本信息:
中文名称 美雄酮
中文别名 1-Dehydro-17α-methyltestosterone;大力补;甲基雄烯酮;17b-羟基-17a-甲基-1,4-雄甾二烯-3-酮;17b-羟基-17a-甲基-1,4-雄甾二烯-3-酮;去氢甲睾酮(甲雄二烯酮);
英文名称 Methandrostenolone
英文别名 Metandienone;
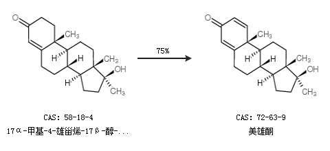
CAS号 72-63-9
合成路线:
1.通过17α-甲基-4-雄甾烯-17β-醇-3-酮 17β-羟基-17α-甲基-4-雄甾烯-3-酮 甲基睾甾酮 甲睾酮合成美雄酮,收率约75%;

更多路线和参考文献可参考