基本信息:
中文名称 芒柄花苷
中文别名 芒柄花素-7-O-葡萄糖苷;芒柄花素-7-O-葡萄糖苷.芒柄花苷;刺芒柄花素-7-葡萄糖甙;
英文名称 ononin
英文别名 Ononin;GLUCOSYL-7-O-FORMONONETIN;Fomononetin;FORMONONETIN-7-O-GLUCOSIDE;Ononoside;Formononetin 7-O-β-D-glucopyranoside;FoMononetin-7-O-glucoside;
CAS号 486-62-4
合成路线:
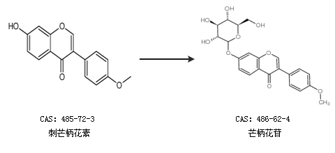
1.通过刺芒柄花素合成芒柄花苷

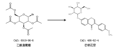
2.通过乙酰溴葡糖合成芒柄花苷

更多路线和参考文献可参考