你好,欢迎来到中华试剂网 购试剂 买耗材! [请登录][注册有惊喜]

货号快速下单 | 签到送积分   | 会员中心 | 客服热线:400-021-2765

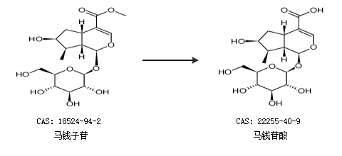
马钱苷酸的合成路线有哪些?

提问时间:2021/4/20 8:14:10
马钱苷酸有什么方法可以合成?

1条回复:

匿名
2021/4/20 8:14:10
基本信息:
中文名称 马钱苷酸
中文别名 落干酸;
英文名称 loganic acid
英文别名 Loganic acid;LOGANIC ACID;Norloganin;
CAS号 22255-40-9

合成路线:
1.通过马钱子苷合成马钱苷酸


更多路线和参考文献可参考
回复