基本信息:
中文名称 氯甲基乙醚
中文别名 氯甲基乙基醚;氯甲基 乙基 醚;1-氯甲基乙基醚;
英文名称 chloromethoxyethane
英文别名 Ethoxychloromethane;CHLOROMETHYL ETHYL ETHER;Chloromethyl ethyl ether;Ethane,(chloromethoxy);(chloromethoxy)ethane;(Chloromethoxy)ethane;chloromethyloxyethane;Ether,chloromethyl ethyl;Ethoxymethyl chloride;
CAS号 3188-13-4
合成路线:
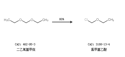
1.通过二乙氧基甲烷合成氯甲基乙醚,收率约80%;

2.通过甲醛和乙醇合成氯甲基乙醚

更多路线和参考文献可参考