基本信息:
中文名称 氯贝特
中文别名 氯苯丁酯;氯苯丁酯;氯贝丁酯;氯贝丁酯;对氯苯氧异丁酸乙酯,氯贝丁酯;α-对氯苯氧基-α-甲基丙酸乙酯;对氯苯氧异丁酸乙酯;
英文名称 clofibrate
英文别名 Clofibratum;ethyl 2-(4-chlorophenoxy)-2-methylpropanoate;Antilipid;Clofibrato;Atromid;Anparton;ethyl p-chlorophenoxy-isobutyrate;Arterioflexin;Atromid-S;clofibric acid;Angiokapsul;2-(p-chlorophenoxy)isobutyric acid ethyl ester;
CAS号 637-07-0
合成路线:
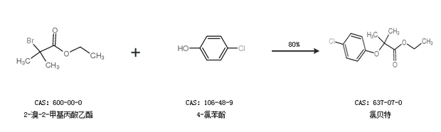
1.通过2-溴-2-甲基丙酸乙酯和4-氯苯酚合成氯贝特,收率约80%;

2.通过乙醇和2-(4-氯丙氧基)-2-甲基丙酰氯合成氯贝特

更多路线和参考文献可参考