基本信息:
中文名称 洛伐他汀钠
中文别名 洛伐他汀羟基酸钠盐;
英文名称 mevinolinic acid
英文别名 2-methoxy-4,4''-dihydroxychalcone;Echinantin;4'',4-dihydroxy-2-methoxychalcone;LOVASTATIN HYDROXY ACID, SODIUM SALT;Echinatin;Mevinolinic acid;lovastatin acid;loureirin C;lovastatin hydroxy acid;
CAS号 75225-51-3
合成路线:
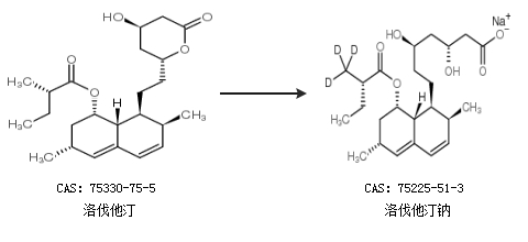
1.通过洛伐他汀合成洛伐他汀钠

2.通过洛伐他汀合成洛伐他汀钠

更多路线和参考文献可参考