基本信息:
中文名称 芦荟大黄素
中文别名 1,8-二羟基-3-(羟基甲基)蒽醌;1.8-二羟基-3-羟甲基蒽醌;1,8-二羟基-3-羟甲基蒽醌;芦荟泻素;
英文名称 Aloe emodin
英文别名 Diacerein impurity B;Aloe-emodin;3-Hydroxymethylchrysazin;EMODINE;3-Hydroxymethylchrysazine;Aloe Emodin;1,8-Dihydroxy-3-(hydroxymethyl)anthraquinone,3-Hydroxymethylchrysazine;Rhabarberone;Aloeemodin;1,8-Dihydroxy-3-(hydroxymethyl)anthraquinone,3-Hydroxymethylchrysazine,Aloe-emodin;1,8-Dihydroxy-3-(hydroxymethyl)anthraquinone;
CAS号 481-72-1
合成路线:
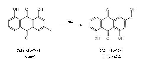
1.通过大黄酚合成芦荟大黄素,收率约70%;

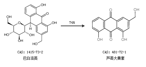
2.通过巴白洛英合成芦荟大黄素,收率约74%;

更多路线和参考文献可参考