基本信息:
中文名称 六氟乙酰丙酮
中文别名 1,1,1,5,5,5-六氟代-乙酰丙酮;1,1,1,5,5,5-六氟-2,4-戊二酮;
英文名称 Hexafluoroacetylacetone
英文别名 (S)-(+)-1-Amino-2-propanol;HEXAFLUOROACETYLACETONE;1,1,1,5,5,5-Hexafluoro-2,4-pentanedione;1,1,1,5,5,5-Hexafluoropentane-2,4-dione;
CAS号 1522-22-1
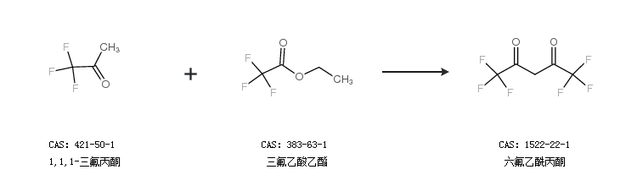
合成路线:
1.通过1,1,1-三氟丙酮和三氟乙酸乙酯合成六氟乙酰丙酮

2.通过苯甲酰三氟丙酮合成六氟乙酰丙酮

更多路线和参考文献可参考