基本信息:
中文名称 2''-脱氧鸟苷水合物
中文别名 2''-脱氧鸟苷;2’-脱氧鸟苷;去氧鸟便嘌呤核苷;2''-脱氧鸟苷(一水);2''-脱氧鸟甙;鸟嘌呤脱氧核糖核苷;9-β-D-2''-呋喃脱氧核苷鸟嘌呤;
英文名称 2''-deoxyguanosine
英文别名 DEOXYGUANOSINE-2'';2''-DEOXY-D-GUANOSINE;deoxyguanosine;A-2''-DEOXYGUANOSINE;Desoxyguanosine;2''-Deoxyguanosine monohydrate;guaninedeoxyriboside;2''-Deoxyguanosinemonohydrate;
CAS号 961-07-9
合成路线:
1.通过2,6-二氨基嘌呤-2’-脱氧核苷合成2''-脱氧鸟苷水合物,收率约91%;

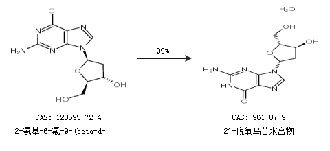
2.通过2-氨基-6-氯-9-(beta-d-2-脱氧核糖)嘌呤合成2''-脱氧鸟苷水合物,收率约99%;

合成路线仅供参考