基本信息:
中文名称 2''-脱氧尿苷
中文别名 2’-脱氧尿嘧啶核苷;2’-脱氧尿苷;2''-脱氧尿嘧啶核苷;1-(2-Deoxy-β-D-ribofuranosyl)uracil;2''-去氧尿苷;2''-脱氧尿甙;去氧尿嘧啶核苷;
英文名称 2''-deoxyuridine
英文别名 [131I]-Deoxyuridine;DEOXYURIDINE-2'';2''-deoxy-uridin;2''-Deoxyuridine;deoxyuridine;1-((2R,4S,5R)-4-Hydroxy-5-(hydroxymethyl)tetrahydrofuran-2-yl)pyrimidine-2,4(1H,3H)-dione;Uracildeoxyr;2''-dU;[3H]-Deoxyuridine;Deoxy-uridin;durd;2''-DEOXYTHYMIDINE-5''-DIPHOSPHATE TRISODIUM SALT;
CAS号 951-78-0
合成路线:
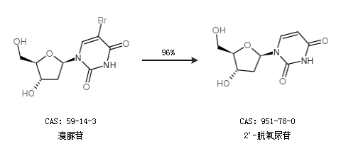
1.通过溴脲苷合成2''-脱氧尿苷,收率约96%;

2.通过吗啉和碘苷合成2''-脱氧尿苷,收率约39%;

合成路线仅供参考