基本信息:
中文名称 (R)-三苯基乙二醇
中文别名 (R)-三苯基-1,2-乙二醇;(R)-(+)-1,1,2-三苯基-1,2-乙二醇;
英文名称 (R)-(+)-1,1,2-Triphenyl-1,2-ethanediol
英文别名 (R)-1,1,2-Triphenylethane-1,2-diol;
CAS号 95061-46-4
合成路线:
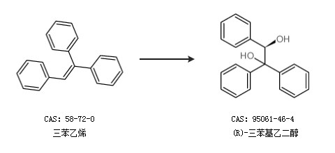
1.通过三苯乙烯合成(R)-三苯基乙二醇

2.通过5-(4-氟-苯基)-2-异丙基-1-(3-氧代-丙基)-4-苯基-1H-吡咯-3-羧酸苯胺合成(R)-三苯基乙二醇

中华试剂网提醒:合成路线仅供参考