基本信息:
中文名称 4-氯-1,2-苯二胺
中文别名 1,2-二氨基-4-氯苯;4-氯邻亚苯基二胺;4-氯-1,2-二氨基苯;4-氯邻苯二胺;对氯邻苯二胺;4-氯代邻苯二胺;
英文名称 4-Chloro-1,2-diaminobenzene
英文别名 4-chlorobenzene-1,2-diamine;
CAS号 95-83-0
合成路线:
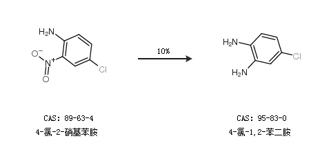
1.通过4-氯-2-硝基苯胺合成4-氯-1,2-苯二胺,收率约10%;

2.通过2-硝基-5-氯苯胺合成4-氯-1,2-苯二胺,收率约98%;

中华试剂网提醒:合成路线仅供参考