基本信息:
中文名称 (S)-1,4-二氮杂双环[4.3.0]壬烷
中文别名 (S)-1,4-氮杂双环[4.3.0]壬烷;(S)-1,4-二唑双环[4.3.0]壬烷;
英文名称 (S)-1,4-Diazabicyclo[4.3.0]nonane
英文别名 (8aS)-1,2,3,4,6,7,8,8a-octahydropyrrolo[1,2-a]pyrazine;
CAS号 93643-24-4
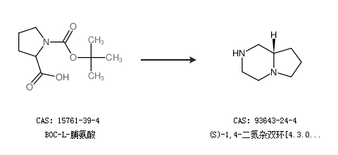
合成路线:
1.通过(8As)-六氢吡咯并[1,2-a]吡嗪-1,4-二酮合成(S)-1,4-二氮杂双环[4.3.0]壬烷,收率约68%;

2.通过BOC-L-脯氨酸合成(S)-1,4-二氮杂双环[4.3.0]壬烷

合成路线仅供参考