基本信息:
中文名称 1-丁基-1-甲基吡咯烷溴化物
中文别名 1-丁基-1-甲基吡溴化咯烷鎓;1-丁基-1-甲基溴化吡咯烷;
英文名称 1-Butyl-1-Methylpyrrolidinium Bromide
英文别名 1-butyl-1-methylpyrrolidin-1-ium,bromide;
CAS号 93457-69-3
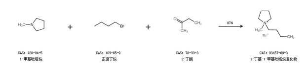
合成路线:
1.通过1-甲基吡咯烷和正溴丁烷合成1-丁基-1-甲基吡咯烷溴化物,收率约99%;

2.通过1-甲基吡咯烷、正溴丁烷和2-丁酮合成1-丁基-1-甲基吡咯烷溴化物,收率约87%;

合成路线仅供参考