基本信息:
中文名称 戊五醇
中文别名 低聚木糖;1,2,3,4,5-五羟基戊醇;1,2,3,4,5-五羟基戊烷;五羟基戊烷;内消旋木糖基戊醇;
英文名称 xylitol
英文别名 Kylit;Klinit;XYLITOL, CERTIFIED REFERENCE MATERIAL;1,2,3,4,5-PENTAHYDROXYPENTANE;kannit;Meso-X;Xylitol;D-XYLITOL;XYLITOL;XYLIT;Xilite;newtol;eutrit;Xylo-oligosaccharide;XYLITE;
CAS号 87-99-0
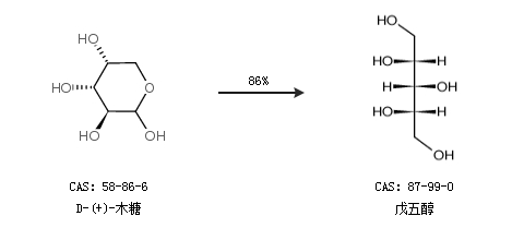
合成路线:
1.通过D-(+)-木糖合成戊五醇,收率约86%;

2.通过L-(+)-阿拉伯糖合成戊五醇

合成路线仅供参考