你好,欢迎来到中华试剂网 购试剂 买耗材! [请登录][注册有惊喜]

货号快速下单 | 签到送积分   | 会员中心 | 客服热线:400-021-2765

当前位置:首页
辅酶A,85-61-0,结构式

辅酶A

CasNo:85-61-0 MDL: 分子式:C21H36N7O16P3S · xH2O 分子量:767.53 (anhydrous basis)

小程序

化学试剂

所有产品仅用作科学研究和企业生产,我们不为任何个人用途提供产品和服务
收起
  品牌 货号 品名 规格纯度 包装 库存

库存说明:标注库存(0):表示该产品暂无现货,需下单后安排生产;标注上海 (>10):表示该产品库存地点为上海,库存数量大于 10 件;标注库存(3-4 周):表示该产品暂无现货,预计生产及交货周期为 3-4 周。*尽管本平台已与主流生产厂家实现库存数据对接,但库存状态为实时动态变化,平台无法完全保证下单时库存信息与实际库存完全一致。如遇下单后产品无货、库存不足或交期调整,我司将第一时间与您沟通并协商后续处理方案。

牌价含税 成交价 购买量 操作
loading
点击加载更多
加载完成
声明
1、因厂家会在没有任何提前通知的情况下更改产品价格、包装、产地或者一些附件,若出现价格异常请以厂家官网价格为准,本司不能确保客户收到的货物与商城图片、产地、附件说明完全一致,只能确保为原厂正货!并且保证与当时市场上同样主流新品一致。若本商城没有及时更新,请大家谅解!
2、商品信息标注“一般危化品”“危化”的商品,如需购买需提供一般危化品购买资质。
3、库存说明:标注库存(0):表示该产品暂无现货,需下单后安排生产;标注上海 (>10):表示该产品库存地点为上海,库存数量大于 10 件;标注库存(3-4 周):表示该产品暂无现货,预计生产及交货周期为 3-4 周。*尽管本平台已与主流生产厂家实现库存数据对接,但库存状态为实时动态变化,平台无法完全保证下单时库存信息与实际库存完全一致。如遇下单后产品无货、库存不足或交期调整,我司将第一时间与您沟通并协商后续处理方案。
4、仅可用于工业或者科研等非医疗目的。买卖双方确认:依照中国法律法规之规定,本网站销售的所有产品仅用于工业应用或者科学研究等非医疗目的,不可用于人类或动物的临床诊断或治疗,非药用,非食用。我们特此明示提醒:您应严格恪守上述规定,不得超越正常的科研或教学目的而违规使用产品,否则由此造成的一切后果均应由您承担;若我们因此遭受任何损失的,您也应负责对我们做出赔偿。
我要委托采购 85-61-0 产品

用户需要登录成功才能进行委托采购!
品牌试剂可在上方直接购买,如需大包装可发起委托采购。

*收货区域
*发票类型
*需求量1
*需求量2
备注

基本信息物化性质安全数据

CAS:85-61-0
中文名:辅酶A
英文名:Coenzyme A hydrate
中文别名:
辅酶A 水合物;辅酶A水合物(游离酸)
英文别名:

技术问答

辅酶 A的合成路线匿名 2021-04-25 10:27
描述:辅酶 A是什么,有什么方法可以合成?
基本信息:
中文名称 辅酶 A
中文别名 COASH,辅酶甲;辅酶甲;4-氨基嘧啶并咪唑/辅酶A;4-氨基嘧啶并咪唑;辅酶甲,CO-A;辅酶A;
英文名称 coenzyme A
英文别名 Coalip;Aluzime;Thiol-CoA;CONENZYME A;Lucina;COA-SH;Coenzyme A;
CAS号 85-61-0

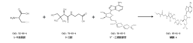
合成路线:
1.通过L-半胱氨酸和5’-三磷酸腺苷合成辅酶 A


2.通过L-半胱氨酸、D-泛酸和5’-三磷酸腺苷合成辅酶 A


中华试剂网提醒:合成路线仅供参考
展开
Coenzyme A是什么,有什么用途匿名 2021-04-14 09:23
描述:
Coenzyme A 是由泛酸 (Vitamin B5),三磷酸腺苷 (ATP) 和半胱氨酸 (cysteine) 合成的所有活细胞中必需的辅助因子。Coenzyme A 与过氧化物酶 5 (Prdx5) 共价结合导致其过氧化物酶活性完全抑制,通过 DTT 还原可逆转。Coenzyme A 及其硫酯衍生物是主要分解代谢,合成代谢途径和基因表达调控的关键参与者。许多人类病理学,包括癌症,糖尿病和神经变性与 Coenzyme A 及其衍生物的异常生物合成和体内平衡有关。
展开
辅酶 A 水合物的储存条件,储存温度匿名 2021-04-02 13:16
描述:辅酶 A 水合物的储存温度 保存方法
-20°C储存
展开
辅酶 A 水合物的储存条件,储存温度匿名 2021-04-02 13:14
描述:辅酶 A 水合物的储存温度 保存方法
-20°C储存
展开

原料询价

询单已收到,专属客服稍后会联系您!

您还可以登录后台“查看询单

此商品已成功添加到购物车
此商品已成功添加到购物车!