基本信息:
中文名称 alpha-熊果苷
中文别名 阿尔法 熊果苷;α-熊果苷;4-氢苯醌-alpha-D-吡喃葡萄糖甙;对苯二酚-alpha-D-葡萄糖苷;对-羟基苯-α-D-吡喃葡萄糖苷;A-熊果苷;
英文名称 alpha arbutin
英文别名 (2R,3S,4S,5R,6R)-2-(hydroxymethyl)-6-(4-hydroxyphenoxy)oxane-3,4,5-triol;α-Arbutin;4-Hydroxyphenyl a-D-glucopyranoside;
CAS号 84380-01-8
合成路线:
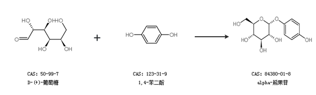
1.通过D-(+)-葡萄糖和1,4-苯二酚合成alpha-熊果苷

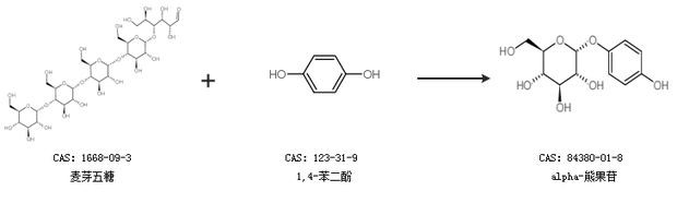
2.通过麦芽五糖和1,4-苯二酚合成alpha-熊果苷

合成路线仅供参考