你好,欢迎来到中华试剂网 购试剂 买耗材! [请登录][注册有惊喜]

货号快速下单 | 签到送积分   | 会员中心 | 客服热线:400-021-2765

当前位置:首页
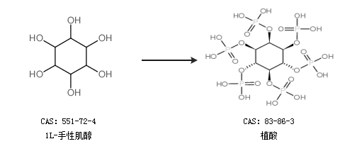
植酸,83-86-3,结构式

植酸

CasNo:83-86-3 MDL:MFCD00082309 分子式:C6H18O24P6 分子量:660.04

小程序

化学试剂

所有产品仅用作科学研究和企业生产,我们不为任何个人用途提供产品和服务
收起
  品牌 货号 品名 规格纯度 包装 库存

库存说明:标注库存(0):表示该产品暂无现货,需下单后安排生产;标注上海 (>10):表示该产品库存地点为上海,库存数量大于 10 件;标注库存(3-4 周):表示该产品暂无现货,预计生产及交货周期为 3-4 周。*尽管本平台已与主流生产厂家实现库存数据对接,但库存状态为实时动态变化,平台无法完全保证下单时库存信息与实际库存完全一致。如遇下单后产品无货、库存不足或交期调整,我司将第一时间与您沟通并协商后续处理方案。

牌价含税 成交价 购买量 操作
loading
点击加载更多
加载完成
声明
1、因厂家会在没有任何提前通知的情况下更改产品价格、包装、产地或者一些附件,若出现价格异常请以厂家官网价格为准,本司不能确保客户收到的货物与商城图片、产地、附件说明完全一致,只能确保为原厂正货!并且保证与当时市场上同样主流新品一致。若本商城没有及时更新,请大家谅解!
2、商品信息标注“一般危化品”“危化”的商品,如需购买需提供一般危化品购买资质。
3、库存说明:标注库存(0):表示该产品暂无现货,需下单后安排生产;标注上海 (>10):表示该产品库存地点为上海,库存数量大于 10 件;标注库存(3-4 周):表示该产品暂无现货,预计生产及交货周期为 3-4 周。*尽管本平台已与主流生产厂家实现库存数据对接,但库存状态为实时动态变化,平台无法完全保证下单时库存信息与实际库存完全一致。如遇下单后产品无货、库存不足或交期调整,我司将第一时间与您沟通并协商后续处理方案。
4、仅可用于工业或者科研等非医疗目的。买卖双方确认:依照中国法律法规之规定,本网站销售的所有产品仅用于工业应用或者科学研究等非医疗目的,不可用于人类或动物的临床诊断或治疗,非药用,非食用。我们特此明示提醒:您应严格恪守上述规定,不得超越正常的科研或教学目的而违规使用产品,否则由此造成的一切后果均应由您承担;若我们因此遭受任何损失的,您也应负责对我们做出赔偿。
我要委托采购 83-86-3 产品

用户需要登录成功才能进行委托采购!
品牌试剂可在上方直接购买,如需大包装可发起委托采购。

*收货区域
*发票类型
*需求量1
*需求量2
备注

基本信息物化性质安全数据

CAS:83-86-3
中文名:植酸
英文名:Phytic acid solution
中文别名:
植酸
环己六醇磷酸酯,肌醇六磷酸酯,环已六醇六磷酸酯
英文别名:
Phytic acid solution
myo-Inositol hexakis(dihydrogen phosphate)
Phytic acid
Inositol hexaphosphoric acid

技术问答

植酸的合成路线有哪些?匿名 2021-04-22 10:11
描述:植酸有什么方法可以合成?
基本信息:
中文名称 植酸
中文别名 环己六醇六磷酸;环已六醇六磷酸;肌醇六磷酸;肌醇六(磷酸二氢酯);肌醇六磷酸;
英文名称 myo-inositol hexakisphosphate
英文别名 Alkovert;Alkalovert;Phytate;Inositol hexaphosphate;(2,3,4,5,6-pentaphosphonooxycyclohexyl) dihydrogen phosphate;inositol hexakisphosphate;Phytine;myo-inositol 1,2,3,4,5,6-hexakisphosphate;Acidum fyticum;myo-Inositol hexaphosphate;Fytic acid;Phyticacid;myo-inositol-1,2,3,4,5,6-hexakis-dihydrogenphosphate;
CAS号 83-86-3

合成路线:
1.通过1L-手性肌醇合成植酸


2.通过肌醇和磷酸合成植酸


合成路线仅供参考
展开
植酸是什么,有什么用途啊?匿名 2021-04-20 17:39
描述:植酸的物化性质是什么,有什么用途啊?
基本信息:
中文名称 植酸
中文别名 环己六醇六磷酸;环已六醇六磷酸;肌醇六磷酸;肌醇六(磷酸二氢酯);肌醇六磷酸;
英文名称 myo-inositol hexakisphosphate
英文别名 Alkovert;Alkalovert;Phytate;Inositol hexaphosphate;(2,3,4,5,6-pentaphosphonooxycyclohexyl) dihydrogen phosphate;inositol hexakisphosphate;Phytine;myo-inositol 1,2,3,4,5,6-hexakisphosphate;Acidum fyticum;myo-Inositol hexaphosphate;Fytic acid;Phyticacid;myo-inositol-1,2,3,4,5,6-hexakis-dihydrogenphosphate;
CAS号 83-86-3
分子式 C6H18O24P6
分子量 660.03500

物化性质:
折射率 n20/D 1.4
外观性状 无色至淡黄色液体
沸点 105 °C
水溶解性 MISCIBLE
密度 1.432 g/mL at 25 °C

植酸的用途:

植酸是一种重要的有机磷系列添加剂,具有独特的生理功能和化学性质。作为螯合剂、抗氧化剂、保鲜剂、护色剂、水的软化剂、发酵促进剂、金属防腐防蚀剂等广泛用于食品、医药、油漆涂料、日用化工、环保、金属加工、电子、纺织工业、塑料工业及高分子工业等行业领域。

展开
植酸的合成路线有哪些?匿名 2021-04-20 10:31
描述:植酸有什么方法可以合成?
基本信息:
中文名称 植酸
中文别名 环己六醇六磷酸;环已六醇六磷酸;肌醇六磷酸;肌醇六(磷酸二氢酯);肌醇六磷酸;
英文名称 myo-inositol hexakisphosphate
英文别名 Alkovert;Alkalovert;Phytate;Inositol hexaphosphate;(2,3,4,5,6-pentaphosphonooxycyclohexyl) dihydrogen phosphate;inositol hexakisphosphate;Phytine;myo-inositol 1,2,3,4,5,6-hexakisphosphate;Acidum fyticum;myo-Inositol hexaphosphate;Fytic acid;Phyticacid;myo-inositol-1,2,3,4,5,6-hexakis-dihydrogenphosphate;
CAS号 83-86-3

合成路线:
1.通过1L-手性肌醇合成植酸


2.通过肌醇和磷酸合成植酸


以上合成路线仅供参考
展开
Phytic acid匿名 2021-04-13 15:23
描述:Phytic acid是什么,有什么用
Phytic acid 是种子和谷粒的磷储存化合物。Phytic acid 被称为食品抑制剂,具有很强的螯合多价金属离子的能力,特别是锌,钙,铁和蛋白质残留物。Phytic acid 抑制超氧化物来源黄嘌呤氧化酶 (XO) 并具有抗氧化,神经保护以及抗炎作用。
展开
植酸的储存条件,储存温度匿名 2021-04-02 13:08
描述:植酸的储存温度 保存方法
室温储存
展开

原料询价

询单已收到,专属客服稍后会联系您!

您还可以登录后台“查看询单

此商品已成功添加到购物车
此商品已成功添加到购物车!