基本信息:
中文名称 1-茚酮
中文别名 α-二氢茚酮;1-茚满酮;1-二氫茚酮;Α-二氫茚酮;1-二氢茚酮;1-二茚酮;
英文名称 indan-1-one
英文别名 Indone;INDANONE;cis-indanone;1-OXOINDAN;1-Indone;1-INDENONE;IDO;1-Indanone;1-oxo-2,3,dihydroinden;1,3-dihydro-1-oxo-2H-indene;I-Indanone;1-oxo-indane;2,3-dihydro-1-1H-indenone;Indan-1-one;
CAS号 83-33-0
合成路线:
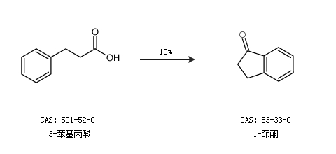
1.通过3-苯基丙酸合成1-茚酮,收率约10%;

2.通过1-羟基茚满合成1-茚酮,收率约97%;

中华试剂网提醒:合成路线仅供参考