基本信息:
中文名称 左炔诺孕酮
中文别名 左旋甲炔诺酮;(-)-炔诺孕酮;(-)-炔诺孕酮;D(–)-17α-乙炔基-17β-羟基-18-甲基雌甾-4-烯-3-酮;D-(-)-甲基炔诺酮;D-(-)-炔诺孕酮;13β-Ethyl-17α-ethynyl-17β-hydroxygon-4-en-3-one;D(-)-炔诺孕酮;
英文名称 [18,19-Dinorpregn-4-en-20-yn-3-one-13-ethyl-17-hydroxy-,(17.α.)-(-)-]
英文别名 microluton;Levonorgestrel;Levonorgestrel;Norgeston;Microval;[3H]-Levonorgestrel;norplant2;levonova;Levonelle;follistrel;Microlut;postinor;wy-5104;
CAS号 797-63-7
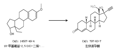
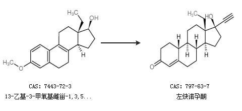
合成路线:
1.通过18-甲基雌甾-2,5(10)-二烯-3&beta合成左炔诺孕酮

2.通过13-乙基-3-甲氧基雌甾-1,3,5(10),8-四烯-17b-醇合成左炔诺孕酮

合成路线仅供参考