基本信息:
中文名称 2,5-二叔戊基对苯二酚
中文别名 2,5-双三級戊基氫苯醌;2,5-双(1,1-二甲基丙基)-1,4-苯二醇;二戊基氢醌;2,5-二叔戊基氢醌;
英文名称 2,5-Di-tert-pentylbenzene-1,4-diol
英文别名 2,5-Di(tert-amyl)hydroquinone;
CAS号 79-74-3
合成路线:
1.通过2-甲基-2-丁烯和1,4-苯二酚合成2,5-二叔戊基对苯二酚,收率约90%;

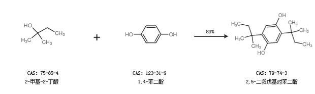
2.通过2-甲基-2-丁醇和1,4-苯二酚合成2,5-二叔戊基对苯二酚,收率约80%;

中华试剂网提醒:合成路线仅供参考