基本信息:
中文名称 4,4''-二氨基苯酰替苯胺
中文别名 4,4''-二胺苯甲酰苯胺;4,4-二氨基苯甲酰替苯胺;4,4’-二氨基苯酰替苯胺;4,4’-二氨基苯甲酰替苯胺;4,4''-二氨基苯甲酰苯胺;4,4''-二氨基-苯甲酰苯胺;4、4''-二氨基苯酰替苯胺;
英文名称 4,4''-Diaminobenzanilide
英文别名 4-amino-N-(4-aminophenyl)benzamide;
CAS号 785-30-8
合成路线:
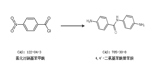
1.通过氯化对硝基苯甲酰合成4,4''-二氨基苯酰替苯胺

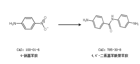
2.通过4-硝基苯胺合成4,4''-二氨基苯酰替苯胺

中华试剂网提醒 合成路线仅供参考