基本信息:
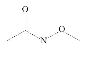
中文名称 N-甲氧基-N-甲基乙酰胺
中文别名 N-甲基-甲氧基乙酰胺;N-甲基-N-甲氧基乙酰胺;
英文名称 N-Methoxy-N-methylacetamide
英文别名 methyl Weinreb amide;n-methoxy-n-methylacetamid;methyl N-methylacetoxyhydroxamate;N,O-dimethylacetohydroxamic acid;N-Methoxy-N-methyl-acetamide;N-Methyl-N-methoxyacetamide;
CAS号 78191-00-1
合成路线:
1.通过二甲羟胺盐酸盐和乙酰氯合成N-甲氧基-N-甲基乙酰胺,收率约98%;

2.通过乙烯基氯化镁合成N-甲氧基-N-甲基乙酰胺

合成路线仅供参考