基本信息:
中文名称 2,5-二(三氟甲基)溴苯
中文别名 2,5-双(三氟甲基)溴苯;1-溴-2,5-双(三氟甲基)苯;
英文名称 2,5-Bis(trifluoromethyl)bromobenzene
英文别名 1-BROMO-2,5-BIS(TRIFLUOROMETHYL)BENZENE;2,5-bis(trifluoromethyl)phenyl bromide;2-Brom-1,4-bis-trifluormethyl-benzol;1,4-BIS(TRIFLUOROMETHYL)-2-BROMOBENZENE;2,4-DICHLORO-5-NITROPHENYL ISOPROPYL-D7 ETHER;2-bromo-1,4-bis-(trifluoromethyl)-benzene;2,5-Bis(Trifluoromethyl) Bromobenzene 2,5-Bis(Trifluoromethyl)Bromobenzene;
CAS号 7617-93-8
合成路线:
1.通过对二三氟甲苯合成2,5-二(三氟甲基)溴苯,收率约63%;

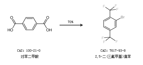
2.通过对苯二甲酸合成2,5-二(三氟甲基)溴苯,收率约70%;

合成路线仅供参考