基本信息:
中文名称 溴百里酚蓝
中文别名 溴百里香酚兰;溴麝香草酚蓝;3'',3''''-二溴麝香草酚磺酞;溴百里香酚蓝(BTB);3,3''-二溴麝香草酚磺酰酞;3'',3''''-二溴百里酚磺酞;溴百里香酚蓝;
英文名称 bromothymol blue
英文别名 ;Bromothymol Blue;3'',3''''-Dibromothymolsulfonphthalein;2-bromo-4-[3-(3-bromo-4-hydroxy-2-methyl-5-propan-2-ylphenyl)-1,1-dioxo-2,1λ<sup>6</sup>-benzoxathiol-3-yl]-3-methyl-6-propan-2-ylphenol;
CAS号 76-59-5
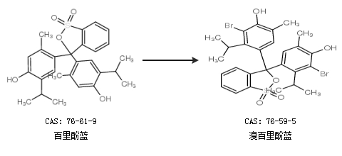
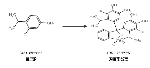
合成路线:
1.通过百里酚蓝合成溴百里酚蓝

2.通过百里酚合成溴百里酚蓝

合成路线仅供参考