基本信息:
中文名称 1,2-二羟基蒽醌
中文别名 茜素;媒染红11;茜草素;颜料红83;芹黄素;C.I.颜料红83;1,2-二羟基;
英文名称 alizarin
英文别名 S NO 1141;Alizarine;Alizarina;dihydroxyanthraquinone;Pincoffin;1,2-dihydroxy-9,10-anthraquinone;1,2-Dihydroxy anthraquinone;ALIZARIN;Alizarin;1,2-Dihydroxy-9,10-anthracenedione;Red 83;Aliazrin;mordant red 11;
CAS号 72-48-0
合成路线:
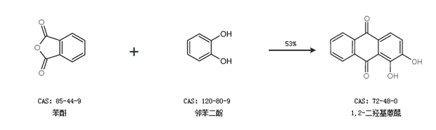
1.通过苯酐和邻苯二酚合成1,2-二羟基蒽醌,收率约53%;

2.通过邻苯二酚和邻苯二甲酰氯合成1,2-二羟基蒽醌,收率约60%;

合成路线仅供参考