基本信息:
中文名称 尿酸
中文别名 7,9-二氢-2,6,8(3H)三酮-1H-嘌呤;2,6,8-三羟基尿杂环;2,6,8-三羟基嘌呤;脲酸;2,6,8-三羥嘌呤;
英文名称 7,9-dihydro-1H-purine-2,6,8(3H)-trione
英文别名 uric acid;7,9-Dihydro-1H-purine-2,6,8(3H)-trione;7,9-dihydro-3H-purine-2,6,8-trione;Lithic acid;1H-Purine-2,6,8(3H)-trione,7,9-dihydro;2,6,8-trihydroxypurine;1H-Purine-2,6,8-triol;urate;2,6,8-trioxypurine;2,6,8-Trioxopurine;[14C]-Uric acid;[3H]-Uric acid;
CAS号 69-93-2
合成路线:
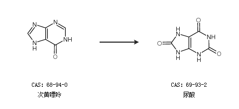
1.通过次黄嘌呤合成尿酸

2.通过2,6-二羟基嘌呤合成尿酸

合成路线仅供参考