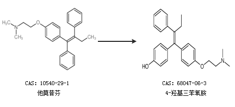
4-羟基三苯氧胺
CasNo:68047-06-3
MDL:MFCD00278780
分子式:C26H29NO2
分子量:387.51
所有产品仅用作科学研究和企业生产,我们不为任何个人用途提供产品和服务
收起

| |
品牌 |
货号 |
品名 |
规格纯度 |
包装 |
库存
库存说明:标注库存(0):表示该产品暂无现货,需下单后安排生产;标注上海 (>10):表示该产品库存地点为上海,库存数量大于 10 件;标注库存(3-4 周):表示该产品暂无现货,预计生产及交货周期为 3-4 周。*尽管本平台已与主流生产厂家实现库存数据对接,但库存状态为实时动态变化,平台无法完全保证下单时库存信息与实际库存完全一致。如遇下单后产品无货、库存不足或交期调整,我司将第一时间与您沟通并协商后续处理方案。
|
牌价含税 |
成交价 |
购买量 |
操作 |
点击加载更多
加载完成
声明
1、因厂家会在没有任何提前通知的情况下更改产品价格、包装、产地或者一些附件,若出现价格异常请以厂家官网价格为准,本司不能确保客户收到的货物与商城图片、产地、附件说明完全一致,只能确保为原厂正货!并且保证与当时市场上同样主流新品一致。若本商城没有及时更新,请大家谅解!
2、商品信息标注“一般危化品”“危化”的商品,如需购买需提供一般危化品购买资质。
3、库存说明:标注库存(0):表示该产品暂无现货,需下单后安排生产;标注上海 (>10):表示该产品库存地点为上海,库存数量大于 10 件;标注库存(3-4 周):表示该产品暂无现货,预计生产及交货周期为 3-4 周。*尽管本平台已与主流生产厂家实现库存数据对接,但库存状态为实时动态变化,平台无法完全保证下单时库存信息与实际库存完全一致。如遇下单后产品无货、库存不足或交期调整,我司将第一时间与您沟通并协商后续处理方案。
4、仅可用于工业或者科研等非医疗目的。买卖双方确认:依照中国法律法规之规定,本网站销售的所有产品仅用于工业应用或者科学研究等非医疗目的,不可用于人类或动物的临床诊断或治疗,非药用,非食用。我们特此明示提醒:您应严格恪守上述规定,不得超越正常的科研或教学目的而违规使用产品,否则由此造成的一切后果均应由您承担;若我们因此遭受任何损失的,您也应负责对我们做出赔偿。
我要委托采购
68047-06-3 产品
用户需要登录成功才能进行委托采购!
品牌试剂可在上方直接购买,如需大包装可发起委托采购。
CAS:68047-06-3
中文名:4-羟基三苯氧胺
英文名:4-Hydroxytamoxifen
中文别名:
4-羟基三苯氧胺
(Z)-4-(1-[4-(Dimethylaminoethoxy)phenyl]-2-phenyl-1-butenyl)phenol
英文别名:
4-Hydroxytamoxifen
trans-4-Hydroxytamoxifen
4-OHT
性质:
储存:2-8°C
安全术语:S22- S23- S36-
风险术语:R20/21/22- R63-
危险品标志:Xn -
危险品运输编号: