基本信息:
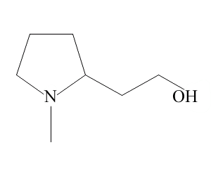
中文名称 N-甲基-2-(2-羟乙基)吡咯烷
中文别名 1-甲基-2-吡咯烷乙醇;1-甲基-2-(2-羟乙基)吡咯烷;2-(2-羟乙基)-1-甲基吡咯烷;
英文名称 1-Methyl-2-pyrrolidineethanol
英文别名 2-(1-methylpyrrolidin-2-yl)ethanol;
CAS号 67004-64-2
合成路线:
1.通过甲醛合成N-甲基-2-(2-羟乙基)吡咯烷

2.通过富马酸氯马斯汀合成N-甲基-2-(2-羟乙基)吡咯烷

中华试剂网提醒:合成路线仅供参考