基本信息:
中文名称 (2S)-2-氨基-3,3-二甲基丁酸甲酯
中文别名 (S)-2-氨基-3,3-二甲基丁酸甲酯;L-tert-亮氨酸甲酯;
英文名称 Methyl (2S)-2-amino-3,3-dimethylbutanoate
英文别名 methylaminodimethylbutanoate;methyl tert-leucinate;methyl L-tert-leucinate;3-Methyl-L-Valine Methyl ester;(S)-2-amino-3,3-dimethyl-butyric acid methyl ester;L-tert-leucine methyl ester;(S)-ter-leucine methyl ester;(S)-tert-butylglycine methyl ester;L-Valine,3-methyl-,methyl ester;(S)-Methyl 2-amino-3,3-dimethylbutanoate;
CAS号 63038-26-6
合成路线:
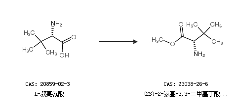
1.通过L-叔亮氨酸合成(2S)-2-氨基-3,3-二甲基丁酸甲酯

2.通过特戊醛合成(2S)-2-氨基-3,3-二甲基丁酸甲酯

中华试剂网提醒:合成路线仅供参考