基本信息:
中文名称 反式-1,4-环己烷二羧酸
中文别名 反式-1,4-环己二甲酸;反-1,4-环己烷二甲酸;反式-1,4-环己二羧酸;
英文名称 trans-1,4-Cyclohexanedicarboxylic acid
英文别名 e,e-trans-1,4-cyclohexanecarboxylic acid;trans-1,4-Cyclohexyldicarboxylic acid;TRANS-CYCLOHEXANE-1,4-DICARBOXYLIC ACID;rel-(1R,4R)-cyclohexane-1,4-dicarboxylic acid;trans-1,4-cyclohexanedicarboxybic acid;trans-Hexahydro-p-phthalic acid;trans-1,4-H2chdc;trans-cyclohexanedicarboxylic acid;TRANS-CYCLOHEXAN-1,4-DICARBOXYLIC ACID;1,4-Cyclohexanedicarboxylic acid,trans;(1r,4r)-cyclohexane-1,4-dicarboxylic acid;trans-cyclohexyldicarboxylic acid;TRANS-HEXAHYDROTEREPHTHALIC ACID;
CAS号 619-82-9
合成路线:
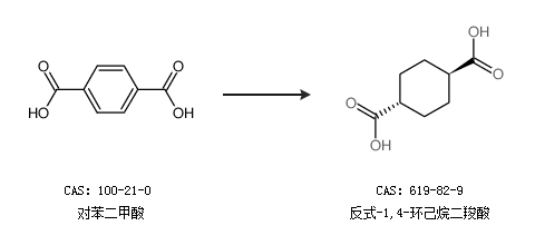
1.通过对苯二甲酸合成反式-1,4-环己烷二羧酸

2.通过顺-1,4-环己烷二甲酸合成反式-1,4-环己烷二羧酸

中华试剂网提醒:合成路线仅供参考