基本信息:
中文名称 3,5-二甲基吡啶
中文别名 3,5-二甲基氮杂苯;3,5-二甲基氮杂苯,3,5-卢剔啶;3,5-卢剔啶;
英文名称 3,5-dimethylpyridine
英文别名 Pyridine,3,5-dimethyl;3,5-dimethyl-pyridine;1,3-lutidine;3,5-lutidene;3,5-Lutidine;
CAS号 591-22-0
合成路线:
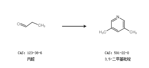
1.通过丙醛合成3,5-二甲基吡啶

2.通过哌啶和丙醛合成3,5-二甲基吡啶

中华试剂网提醒:合成路线仅供参考