基本信息:
中文名称 4-乙基苯胺
中文别名 对乙基苯胺;
英文名称 4-Ethylaniline
英文别名 1-Amino-4-ethylbenzene;4-Aminoethylbenzene;4-ethyl-aniline;p-Ethylaniline;p-Et-C6H4NH2;Aniline,p-ethyl;Aniline,4-ethyl;p-Ethylaminobenzene;Benzenamine,4-ethyl;4-Ethylphenylamine;
CAS号 589-16-2
合成路线:
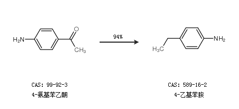
1.通过4-氨基苯乙酮合成4-乙基苯胺,收率约94%;

2.通过4-硝基苯乙烯合成4-乙基苯胺,收率约98%;

中华试剂网提醒:合成路线仅供参考