基本信息:
中文名称 1,6-二羟基萘
中文别名 1,6一二羟基萘;1,6-萘二酚;2,5-二羟基萘;
英文名称 naphthalene-1,6-diol
英文别名 1,6-dihydroxy-naphthalene;1,6-Dihydroxynaphtalene;1,6-Dihydroxynaphthalene;1,6-NAPHTHALENEDIOL;4,7-dihydroxynaphthalene;1,6-NAPTHTALENEDIOL;6-Hydroxy-1-naphthol;2,5-DIHYDROXYNAPHTHALENE;2,5-Naphthalenediol;
CAS号 575-44-0
合成路线:
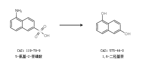
1.通过5-氨基-2-萘磺酸合成1,6-二羟基萘

2.通过2-萘胺-1,5-二磺酸合成1,6-二羟基萘

合成路线仅供参考