基本信息:
中文名称 5-氟吲哚-2-酮
中文别名 5-氟-1,3-二氢吲哚-2-酮;5-氟氧化吲哚;5-氟吲哚酮;5-氟吲哚酮;5-氟氧化吲哚;5-氟-吲哚-2-酮;
英文名称 5-Fluoro-2-oxindole
英文别名 Fluorooxindole;5-Fluorooxindole;5-fluoroindolin-2-one;5-fluoro-2-oxo-1,2-dihydro-indole;5-FLUROOXINDOLE;5-Fluoroindole-2-One;5-FLUORO-2-OXYINDOLE;5-Fluoro-2-indolinone;5-fluoro-1,3-dihydro-indol-2-one;
CAS号 56341-41-4
合成路线:
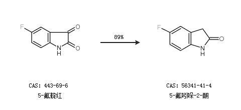
1.通过5-氟靛红合成5-氟吲哚-2-酮,收率约89%;

2.通过5-氟-3-肼基吲哚啉-2-酮合成5-氟吲哚-2-酮,收率约82%;

合成路线仅供参考