基本信息:
中文名称 L-谷氨酰胺
中文别名 (S)-2,5-二氨基-5-氧代戊酸;L-氨羰基丁氨酸;L-2-氨基戊二酸酰胺;L-谷氨酸-5-酰胺;L-(+)-谷氨酰胺/2-氨基戊二酸;L-麸氨酰胺;左谷酰胺;L-谷胺酰胺;
英文名称 L-glutamine
英文别名 ;L-(+)-Glutamine;Pentanoic acid, 2,5-diamino-5-oxo-, (S)-;
CAS号 56-85-9
合成路线:
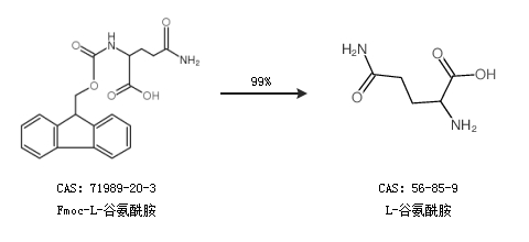
1.通过Fmoc-L-谷氨酰胺合成L-谷氨酰胺,收率约99%;

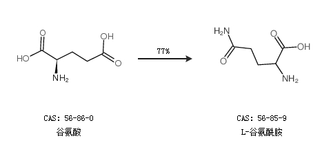
2.通过谷氨酸合成L-谷氨酰胺,收率约77%;

合成路线仅供参考