基本信息:
中文名称 2,4-二硫代缩二脲
中文别名 二硫代缩二脲;
英文名称 carbamothioylthiourea
英文别名 Dithioallophanimidic acid;dithiobeulet;Imidodicarbonimidothioic diamide;Dithiobiuret;Biuret,dithio;Imidodicarbonodithioic diamide;2,4-dithiobiuret;Thioimidodicarbonic diamide;
CAS号 541-53-7
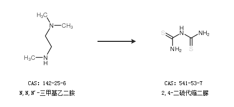
合成路线:
1.通过N,N,N''-三甲基乙二胺合成2,4-二硫代缩二脲

2.通过二氰胺钠合成2,4-二硫代缩二脲

合成路线仅供参考