基本信息:
中文名称 	2,3,4,5-四氟苯甲醇
中文别名 	2,3,4,4-四氟苄醇;2,3,4,5-四氟苄醇;
英文名称 	2,3,4,5-Tetrafluorobenzyl alcohol
英文别名 	(2,3,4,5-Tetrafluorophenyl)methanol;(2,3,4,5-tetrafluorophenyl)methanol;2,3,4,5-Tetrafluorobenzyl Alcohol;
CAS号 	53072-18-7
合成路线:
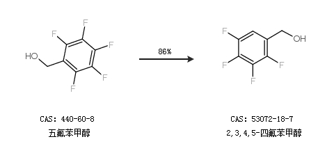
1.通过五氟苯甲醇合成2,3,4,5-四氟苯甲醇,收率约86%;

2.通过甲醇和五氟苯合成2,3,4,5-四氟苯甲醇,收率约8%;

合成路线仅供参考