基本信息:
中文名称 泼尼松
中文别名 1,4-Pregnadiene-17α,21-diol-3,11,20-trione;强的松;强的松,去氢可的松;
英文名称 prednisone
英文别名 Cortan;deltae;Cotone;Wojtab;In-Sone;MOPP;u6020;deltacortisone;Prednisone;Deltra;17,21-Dihydroxypregna-1,4-diene-3,11,20-trione;
CAS号 53-03-2
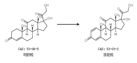
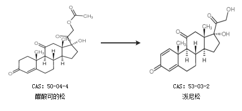
合成路线:
1.通过可的松合成泼尼松

2.通过醋酸可的松合成泼尼松

合成路线仅供参考