基本信息:
中文名称 醋酸氟氢可的松
中文别名 醋酸腐氢可的松;甲醇中氟氢可的松;[2-[(9S)-9-Fluoro-11,17-dihydroxy-10,13-dimethyl-3-oxo-1,2,6,7,8,11,12,14,15,16-decahydrocyclopenta[a]phenanthren-17-yl]-2-oxo-ethyl] acetate;
英文名称 fludrocortisone acetate
英文别名 Fludrocortisone Acetate;Fludrocortisone acetate;
CAS号 514-36-3
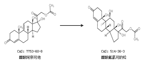
合成路线:
1.通过21-乙酰氧基-9Β,11Β-环氧-17Alpha-羟基孕甾-4-烯-3,20-二酮合成醋酸氟氢可的松

2.通过醋酸阿奈可他合成醋酸氟氢可的松

合成路线仅供参考