基本信息:
中文名称 2-氯-2'',4''-二氟苯乙酮
中文别名 2''-氯-2,4-二氟苯乙酮;2,4-二氟-α-氯代苯乙酮;2,4-二氟-Alpha-氯代苯乙酮;2-氯-2,4-二氟苯乙酮;
英文名称 2-Chloro-2'',4''-difluoroacetophenone
英文别名 2-Chloro-1-(2,4-difluorophenyl)ethanone;2,4-Difluorophenacyl Chloride;2-chloro-1-(2,4-difluorophenyl)ethanone;
CAS号 51336-94-8
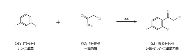
合成路线:
1.通过1,3-二氟苯和一氯代乙酰氯合成2-氯-2'',4''-二氟苯乙酮,收率约96%;

2.通过1,3-二氟苯和一氯丙酮合成2-氯-2'',4''-二氟苯乙酮,收率约95%;

中华试剂网提醒:合成路线仅供参考