基本信息:
中文名称 4-溴-N,N-双(三甲基甲硅烷基)苯胺
中文别名 4-溴-N,N-二(三甲基甲硅烷基)苯胺;
英文名称 4-BROMO-N,N-BIS(TRIMETHYLSILYL)ANILINE
英文别名 N,N-bis(trimethylsilyl)-4-bromoaniline;2-(4-bromophenyl)-1,1,1,3,3,3-hexamethyldisilazane;N-(4-bromophenyl)-N,N-bis(4-butylphenyl)amine;4-bromo-N,N-bis-(trimethylsilyl)aniline;(N-(4-bromophenyl)-1,1,1-trimethyl-N-(trimethylsilyl)-silanamine);N,N-trimethylsilane-4-bromoaniline;4-Bromo-N,N-bis(4-butylphenyl)-aniline;4-bromo-N,N-bis(trimethylylsilyl)aniline;4-bromo-N,N-bis(4-n-butylphenyl)aniline;
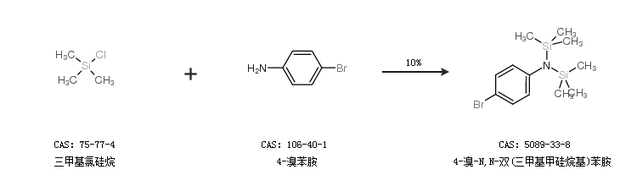
CAS号 5089-33-8
合成路线:
1.通过三甲基氯硅烷和4-溴苯胺合成4-溴-N,N-双(三甲基甲硅烷基)苯胺,收率约10%;

2.通过4-溴苯胺合成4-溴-N,N-双(三甲基甲硅烷基)苯胺

合成路线仅供参考