基本信息:
中文名称 2,4-吡啶二羧酸
中文别名 吡啶-2,4-二羧酸;卢剔啶酸;2,4-二羧酸吡啶;
英文名称 lutidinic acid
英文别名 Lutidinic acid;2,4-Pyridinedicarboxylic acid;pyridine-2,4-dicarboxylic acid;2,4-Lutidinic Acid;Pyridine-2,4-dicarboxylic acid;
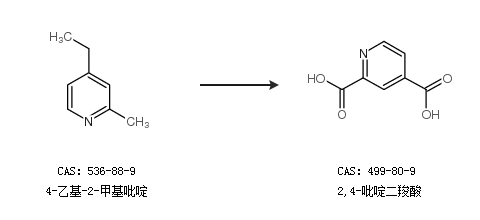
CAS号 499-80-9
合成路线:
1.通过2,4-二甲基吡啶合成2,4-吡啶二羧酸,收率约50%;

2.通过4-乙基-2-甲基吡啶合成2,4-吡啶二羧酸

合成路线仅供参考