基本信息:
中文名称 大黄酸
中文别名 1,8-二羟基-3-羧基蒽醌;9,10-二氢-4,5-二羟基-9,10-二氧代-2-蒽羧酸;4,5-二羟基蒽醌-2-羧酸;4,5-二羟蒽醌-2-羧酸;
英文名称 Rhein
英文别名 Monorhein;1,8-dihydroxyanthraquinone-3-carboxylic acid;9,10-dihydro-4,5-dihydroxy-9,10-dioxoanthracene-2-carboxylic acid;Rheic Acid;Chrysazin-3-carboxylic acid;Rheic acid;1,8-dihydroxy-3-carboxy-9,10-anthraquinone;1,8-dihydroxy-3-carboxyanthraquinone;Rhubarb Yellow;4,5-Dihydroxy-9,10-dioxo-9,10-dihydroanthracene-2-carboxylic acid;4,5-Dihydroxyanthraquinone-2-carboxylic acid;4,5-dihydroxyanthraquinone-2-carboxylic acid;9,10-Dihydro-4,5-dihydroxy-9,10-dioxo-2-anthracenecarboxylic acid;Cassic acid;
CAS号 478-43-3
合成路线:
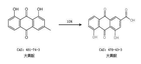
1.通过大黄酚合成大黄酸,收率约10%;

2.通过1-甲氧基-1,3-环己二烯合成大黄酸

合成路线仅供参考